Author: David Merkley
Language: Python
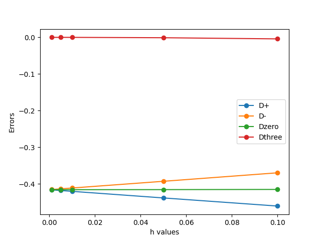
Description/Purpose: This code uses finite difference formulas to approximate u’(x). Then it creates a table of all the errors and plots this information.
Implementation/Code:
import math
import matplotlib.pyplot as plt
# Finding error in finite difference approximation for D+
def Dplus(x, h):
return round((math.sin(x + h) - math.sin(x)) / h, 8)
# Finding error in finite difference approximation for D-
def Dminus(x, h):
return round((math.sin(x) - math.sin(x - h)) / h, 8)
# Finding error in finite difference approximation for D0
def Dzero(x, h):
return round(.5 * (Dplus(x, h) + Dminus(x, h)), 8)
# Finding error in finite difference approximation for D3
def Dthree(x, h):
return round((1 / 6 * h) * ((2 * math.sin(x + h)) + (3 * math.sin(x)) - (6 * math.sin(x - h)) + math.sin(x - (2 * h))), 8)
def main():
x = 2
DList = []
DplusList = []
DminusList = []
DzeroList = []
DthreeList = []
LegendList = ["Dplus", "Dminus", "Dzero", "Dthree"]
hValueList = [0.1, .05, .01, .005, .001]
# This loop creates tuples of all the errors that are used later to create the table and plot the information.
for n in hValueList:
holderArray = [Dplus(x, n), Dminus(x, n), Dzero(x, n), Dthree(x, n)]
DList.append(holderArray)
DplusList.append(Dplus(x, n))
DminusList.append(Dminus(x, n))
DzeroList.append(Dzero(x, n))
DthreeList.append(Dthree(x, n))
# This creates the table for the errors
format_row = "{:>12}" * (len(LegendList) + 1)
print(format_row.format("h", *LegendList))
for column, row in zip(hValueList, DList):
print(format_row.format(column, *row))
# This plots all of the information for the plot
plt.plot(hValueList, DplusList, label="D+", marker="o")
plt.plot(hValueList, DminusList, label="D-", marker="o")
plt.plot(hValueList, DzeroList, label="Dzero", marker="o")
plt.plot(hValueList, DthreeList, label="Dthree", marker="o")
plt.ylabel("Errors")
plt.xlabel("h values")
plt.legend()
plt.show()
main()
Output:
h Dplus Dminus Dzero Dthree
0.1 -0.4608806 -0.37002661 -0.4154536 -0.0041607
0.05 -0.43870116 -0.39324576 -0.41597346 -0.00104034
0.01 -0.42068635 -0.41159345 -0.4161399 -4.161e-05
0.005 -0.41841834 -0.41387186 -0.4161451 -1.04e-05
0.001 -0.41660142 -0.41569212 -0.41614677 -4.2e-07
